Mit dem heutigen Beitrag möchte ich das Thema IBC angehen, denn auch diese Verpackungsvariante hat ihre speziellen Probleme, die es beim Transport zu beachten gilt.
Die meisten wissen, wie ein IBC im Prinzip ausschaut. Es ist ein Behälter aus Kunststoff in einem Metallgehäuse, dessen Boden als Ladungsträger ausgeführt ist. Für das Metallgitter gibt ebenso viele Formen wie für den Ladungsträger.

Je nachdem für welchen Zweck er eingesetzt wird, kann die passende Variante ausgewählt werden.
Die gängigen Füllmengen liegen bei 300, 600, 800 und 1000 Liter. Ebenso variieren die Grundmaße.
Diese Tabelle zeigt nur die gängigen Abmessungen.

Anwendungsspezifisch kann es weitere geben.
Zur Problemladung wird der Ladungsträger dann, wenn er auf oder in einem Transportmittel gestaut und gesichert werden soll. Die Abmessungen (LxB) zeigen, dass sie sich am Euromaß orientieren und damit auf einem LKW mit Ladebreite 2,45m relativ einfach gestaut werden können.
Was aber, wenn der LKW oder die Ladereihe nicht ganz voll wird? Was tun, wenn ein Container gestaut werden soll und Lücken entstehen? Dazu sind Lösungen erforderlich.
Sofern die IBC auch für Gefahrgut zulässig sind, muss die zulässige Stapellast auf dem Typenschild gekennzeichnet sein.
Es handelt sich dabei um eine Flächenlast, die gleichmäßig, senkrecht auf den unteren IBC drückt.

Das Bild, ein Ausschnitt aus einem Fahrversuch, zeigt das Schwallverhalten eines IBC der zu ca. 90% gefüllt ist.
Je niedriger der Füllstand, desto kritischer kann sich die Situation im Falle einer Vollbremsung entwickeln.
Ein Umsturz des IBC kann unter Umständen nicht ausgeschlossen werden.

Eine häufige Methode, welche zum Sichern von IBC angewendet wird, ist das Niederzurren. Leider ist diese Lösung nur moralisch in Ordnung, praktisch jedoch nicht. Die Bilder zeigen, wie sich der IBC beim Niederzurren verformt. Dies fängt bereits bei einer Vorspannkraft von ca. 100daN an. Erfahrungsgemäß hört der Verlader auf zu spannen, wenn er sieht, dass sich der Rahmen verbiegt.


Auch die Gurtführung über den Kunststoff-Einsatz ist nicht zielführend, weil er ebenso wie der Rahmen nachgibt und die Vorspannkraft dadurch verloren geht.

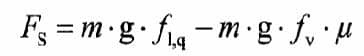
Nehmen wird das vorstehende Beispiel und berechnen die erforderliche, bzw. vorhandene Sicherungskraft.
So sieht die Situation häufig aus. Wichtig ist das Abstand a und die Höhe b für den Winkel Alpha. Der ist entscheidend für den senkrechten Anteil der Sicherungskraft.
Beispiel 1:
Ladebreite (2,45m-1,0m)/2=0,73m tanα=b/a= 1,17/0,73=1,6027=58°
Beispiel 2:
Ladebreite (2,45m-0,80m)/2=0,83m tanα=b/a= 1,17/0,83=1,4096=54°

Es lässt sich an dem Beispiel bereits erkennen, dass es einen Unterschied macht, ob der einzelne IBC längs oder quer auf der Ladefläche steht, weil sich damit der Winkel verändert.
Vorgaben:
Abmessungen: 1,0mx0,80×1,17m
Füllmenge: 1.000 Liter
Gewicht: 1.060 kg
Ladungsträger: Stahlblech;
Reibbeiwert; μ=0,2 LT/Siebdruck
Position: mittig in der Ladereihe
Beschleunigung 0,5g
Sicherungskraft:

1060kgx9,81m/s2x0,5 –
1060kgx9,81m/s2x0,5×0,2 = 520 – 156 = 364daN
Bei meinen Überlegungen verwende ich nach wie vor den früheren K-Faktor aus den VDI-Richtlinien, obwohl er abgeschafft und in der DIN-EN durch den Sicherheitsbeiwert ersetzt wurde. In der konkreten Verladesituation kennt niemand weder den genauen Wert des K-Faktors, noch den des Reibbeiwertes auf der Ladefläche.
Der Sicherheitsbewert ist lediglich ein Faktor der die Sicherungskraft rechnerisch erhöht, in der Annahme es würde reichen. Eine Unsicherheit wurde durch eine andere Unsicherheit ersetzt. Der verantwortliche Verlader ist gehalten ein Sicherheitspaket zu schnüren, das genügend Puffer enthält, um die Unwägbarkeiten zu abzufedern.
Nicht zu knapp nähen, das weiß jede Hausfrau.
Beispiel 1:
StF x K-Faktor x μ x sin58° =
100daN x 1,5 x 0,2 x 0,84 = 34daN
Beispiel 2:
StF x K-Faktor x μ x sin54° =
100daN x 1,5 x 0,2 x 0,80 = 24daN
Es lässt sich leicht erkennen, dass von der Vorspannkraft zu wenig übrigbleibt, als dass die Niederzurrmethode wirksam wäre. Als Ausweg bliebe nur, den IBC auf Antirutschmatten zu setzen und ihn gegen Wandern niederzuhalten. Jetzt würde die Vorspannkraft von 100daN ausreichen, weil die erforderliche Sicherungskraft von der erhöhten Reibkraft der Antirutschmatten übernommen wird.
Als die viel wirksamere Methode ist der Formschluss und damit die Sicherung durch den Fahrzeug-Aufbau zu empfehlen. Der Aufbau gemäß Code-XL muss nachgewiesen werden und technisch in Ordnung sein. Also keine beschädigten Rungen oder Einstecklatten.
Zum Bespiel könnte der Freiraum zwischen IBC und Bordwand, bzw. Einstecklatten mit zwei Leerpaletten ausgefüllt werden.
Die Sicherung nach hinten erfolgt mittels Sperrbalken, sofern vorhanden oder mit dem bekannten Kopflashing über eine hochkant stehende Palette.

Wenn sich ein einzelner IBC schon nicht vermeiden lässt, dann sollte er mindestens in der vorletzten Ladereihen stehen und nicht am Schluss.
Die letzte Ladereihe sollte immer komplett sein, damit die Sicherung nach hinten wirksam angebracht werden kann.

In einem Container wäre z.B. ein 3D-Staupolster eine denkbare Lösung, um die Lücke links und rechts zu füllen. Die Abmessungen (LxBxH) des Polsters können an die Situation angepasst werden.
Sinngemäß würde das Staupolster in der nachfolgenden Grafik die Paletten ersetzen.
Die Ladelücke zur Containertür sollte eine Ladereihe nach vorn verlegt und durch ein weiteres Staupolster ausgefüllt werden.

Die Sicherung nach hinten könnte mit dem klassischen Kopflashing über drei hochkant stehende Paletten erfolgen.
Überschlägig gerechnet würde ein Gurt eine Sicherungskraft von ca. 4.000daN erbringen.

Alternativ sind Sperrbalken zu bevorzugen. Nicht zu verwechseln mit Klemmbrettern, die dafür, wegen zu geringer Blockierkraft BC, nicht geeignet sind.
Auch beim Einsatz von Sperrbalken sollten hochkant stehende Paletten benutzt werden, um die Blockierkraft des Sperrbalkens auf eine größere Fläche zu übertragen.

Wie die vorstehenden Ausführungen zeigen, kann die „Problemladung“ IBC durchaus sinnvoll und mit vergleichsweise geringem Aufwand zuverlässig gesichert werden. Es sind nur wenige Überlegungen notwendig, bevor der LKW oder Container auf dem Hof steht und die Zeit drängt.
Wie immer sollen meine Darstellungen die Thematik nur anreißen, nicht erschöpfend behandeln. Wer sich mit der Aufgabenstellung vertraut macht, wird vielleicht Lösungen finden, die einfach und besser sind. Lediglich nichts tun erhöht das allgemeine Risiko während der Transportphase für alle Beteiligten und das sollte unbedingt vermieden werden.
Packen Sie es an!
Ihr Sigurd Ehringer

Sigurd Ehringer
✔ VDI-zertifizierter Ausbilder für Ladungssicherung ✔ Fachbuch-Autor ✔ 8 Jahre Projektmanager ✔ 12 Jahre bei der Bundeswehr (Kompaniechef) ✔ 20 Jahre Vertriebserfahrung ✔ seit 1996 Berater/Ausbilder in der Logistik ✔ 44 Jahre Ausbilder/Trainer in verschiedenen Bereichen —> In einer Reihe von Fachbeiträgen aus der Praxis, zu Themen rund um den Container und LKW, erhalten Sie Profiwissen aus erster Hand. Wie sichert man Ladung korrekt und was sind die Grundlagen der Ladungssicherung? Erarbeitet und vorgestellt werden sie von Sigurd Ehringer, Inhaber von SE-LogCon.
<< Zum vorherigen Beitrag
Folge 64: Stolperdrähte – die Firma, das unbekannte Wesen
Zum nächsten Beitrag >>


